Тревожные вести Роллс-Ройса.
Модераторы: smixer, lt.ak, vova_k, Misha
-
ЛОДОЧНИК
- Почетный SAONовец
- Сообщения: 4011
- Зарегистрирован: 12 окт 2008, 00:11
- Member of AOPA: Yes
- Откуда: деревня Ватулино
Тревожные вести Роллс-Ройса.
Вот. Почтальон Печкин заходил... 
- Вложения
-
- RR300-7-018.PDF
- (201.25 КБ) 575 скачиваний
Я все хочу, мне все здесь надо!
В этой жизни есть простое правило, пусть лучше будет маленький, но свой!
В этой жизни есть простое правило, пусть лучше будет маленький, но свой!
- pilotatotale
- Гуру
- Сообщения: 2041
- Зарегистрирован: 15 июн 2011, 17:45
- Member of AOPA: Yes
Тревожные вести Роллс-Ройса.
Научиться бы теперь
Тревожные вести Роллс-Ройса.
Я тоже 10 раз прочитал, но боюсь что не повторю(
-
ЛОДОЧНИК
- Почетный SAONовец
- Сообщения: 4011
- Зарегистрирован: 12 окт 2008, 00:11
- Member of AOPA: Yes
- Откуда: деревня Ватулино
Re: Тревожные вести Роллс-Ройса.
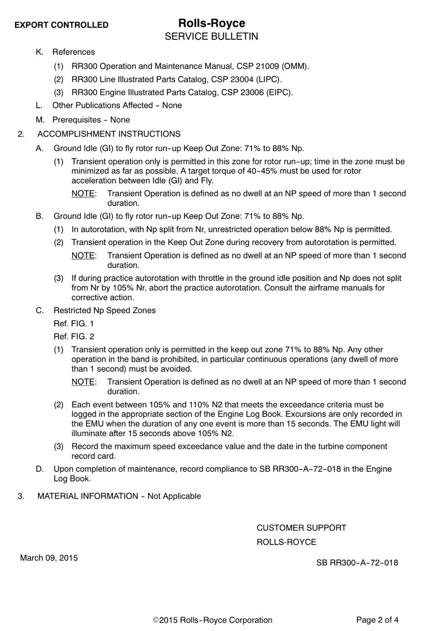
Перевод обязательного эксплутационного бюллетеня SB RR300-A-72-018
Мне пока даже русский язык слабо помогает...
Наверно давление влияет, надеюсь... 
Мне пока даже русский язык слабо помогает...
Я все хочу, мне все здесь надо!
В этой жизни есть простое правило, пусть лучше будет маленький, но свой!
В этой жизни есть простое правило, пусть лучше будет маленький, но свой!
Re: Тревожные вести Роллс-Ройса.
не знаю как остальной перевод, но вообще то "steady state" это "установившийся режим" ... да и вообще вся бумажка напоминание о том, что бы в определённых промежуточных режимах не задерживались ...
AIM 4-1-9 (g)(1) ... "Traffic in the area, please advise" is not a recognized Self-Announce Position and/or Intention phrase and should not be used under any condition.
Failure to comply with this warning will result in future warnings.
Failure to comply with this warning will result in future warnings.
Re: Тревожные вести Роллс-Ройса.
вкратце:
на настоящий момент жёлтый сектор на N2 78%-88% и POH R66 говорит, что "transient operation only" (Section 2, page 2-8) ...
эта бумажка по сути расширяет этот жёлтый сектор до 71%-88% и также напоминает не "жОвать сопли" (do not dwell) в этих режимах ...
по поводу 25%-50% говорится и в POH R66 - Section 4, page 4-8 ...
на настоящий момент жёлтый сектор на N2 78%-88% и POH R66 говорит, что "transient operation only" (Section 2, page 2-8) ...
эта бумажка по сути расширяет этот жёлтый сектор до 71%-88% и также напоминает не "жОвать сопли" (do not dwell) в этих режимах ...
по поводу 25%-50% говорится и в POH R66 - Section 4, page 4-8 ...
RHC писал(а):NOTE
When opening throttle, a target torque of at least 25% is recommended to minimize time transitioning through N2 yellow arc.
CAUTION
When opening throttle, avoid exceeding 50% torque.
AIM 4-1-9 (g)(1) ... "Traffic in the area, please advise" is not a recognized Self-Announce Position and/or Intention phrase and should not be used under any condition.
Failure to comply with this warning will result in future warnings.
Failure to comply with this warning will result in future warnings.
Re: Тревожные вести Роллс-Ройса.
Вот и я думаю: чевой-то ЛОДОШНИК такой тревожный? Успокоительного перед сном 15 капель - и спать 
В критической ситуации ты никогда не воспаришь на уровень своих ожиданий - ты неизбежно провалишься на уровень своей натренированности (с)
Re: Тревожные вести Роллс-Ройса.
Сань! А ты про гайки уже писал?ЛОДОЧНИК писал(а):Вот. Почтальон Печкин заходил...
Re: Тревожные вести Роллс-Ройса.
забил он на гайки болт ...rubaga писал(а):Сань! А ты про гайки уже писал?
AIM 4-1-9 (g)(1) ... "Traffic in the area, please advise" is not a recognized Self-Announce Position and/or Intention phrase and should not be used under any condition.
Failure to comply with this warning will result in future warnings.
Failure to comply with this warning will result in future warnings.
-
ЛОДОЧНИК
- Почетный SAONовец
- Сообщения: 4011
- Зарегистрирован: 12 окт 2008, 00:11
- Member of AOPA: Yes
- Откуда: деревня Ватулино
Re: Тревожные вести Роллс-Ройса.
Я под гайки не попал.lt.ak писал(а):забил он на гайки болт ...rubaga писал(а):Сань! А ты про гайки уже писал?
Я все хочу, мне все здесь надо!
В этой жизни есть простое правило, пусть лучше будет маленький, но свой!
В этой жизни есть простое правило, пусть лучше будет маленький, но свой!
Re: Тревожные вести Роллс-Ройса.
Эгоист)))ЛОДОЧНИК писал(а):Я под гайки не попал.lt.ak писал(а):забил он на гайки болт ...rubaga писал(а):Сань! А ты про гайки уже писал?
Re: Тревожные вести Роллс-Ройса.
он похоже взял жёлтый маркер ... откорректировал шкалу на приборе ... и успокоился ... до следующего письма счастья ...Misha писал(а):Вот и я думаю: чевой-то ЛОДОШНИК такой тревожный? Успокоительного перед сном 15 капель - и спать
AIM 4-1-9 (g)(1) ... "Traffic in the area, please advise" is not a recognized Self-Announce Position and/or Intention phrase and should not be used under any condition.
Failure to comply with this warning will result in future warnings.
Failure to comply with this warning will result in future warnings.
Re: Тревожные вести Роллс-Ройса.
Ну не совсем так. Не до любого. Только до того, которое его затронет. Налицо однобокость позиции и эгоизмlt.ak писал(а):он похоже взял жёлтый маркер ... откорректировал шкалу на приборе ... и успокоился ... до следующего письма счастья ...Misha писал(а):Вот и я думаю: чевой-то ЛОДОШНИК такой тревожный? Успокоительного перед сном 15 капель - и спать![]()
![]()
-
ЛОДОЧНИК
- Почетный SAONовец
- Сообщения: 4011
- Зарегистрирован: 12 окт 2008, 00:11
- Member of AOPA: Yes
- Откуда: деревня Ватулино
Re: Тревожные вести Роллс-Ройса.
Я к своему глубокому сожалению получаю только то, что принесла сорока на хвосте. Сомневаюсь, а точнее уверен, что даже сегодня не все пилоты и инструкторы, уже многочисленных дилеров в этом городе, знают об этом бюллетене имеющем код 1 (незамедлительно), не говоря уже про летающую мимо пыль. Зачем людей нервировать...rubaga писал(а):Ну не совсем так. Не до любого. Только до того, которое его затронет. Налицо однобокость позиции и эгоизмlt.ak писал(а):он похоже взял жёлтый маркер ... откорректировал шкалу на приборе ... и успокоился ... до следующего письма счастья ...Misha писал(а):Вот и я думаю: чевой-то ЛОДОШНИК такой тревожный? Успокоительного перед сном 15 капель - и спать![]()
![]()
Наверно я зажрался, обнаглел и ахренел. Но за последние пять лет я привык к тому, что у меня есть ангелы хранители, заботящиеся обо мне не смотря на то, что не получали уже лет несколько от меня кроме головной боли больше ничего. Но я привык получать оперативную информацию от дилера раньше и на двух языках, чем она приходит по подписке с завода. И при этом ни слова спама про бельков, Чебурашек или белые ночи.
Я все хочу, мне все здесь надо!
В этой жизни есть простое правило, пусть лучше будет маленький, но свой!
В этой жизни есть простое правило, пусть лучше будет маленький, но свой!
Re: Тревожные вести Роллс-Ройса.
Как хорошо, что теперь у нас есть ты!!! После замены гаек надеюсь наши борта будут практически идентичны