ну раз задал вопрос придётся видимо отвечать самому ... мы уже обсуждали график требуемой энергии при равномерном полёте, то есть график который отображает зависимость того сколько энергии требуется для поддержания определенной скорости ... обычно он выглядит примерно так
			
		
				
			 
- Required Power Weight.JPG (9.29 КБ) 8344 просмотра
 в данном случае график выражает зависимость для определенного общего веса ... некоторые производители вертолётов публикуют графики для нескольких величин общего веса ... другими словами, существует зависимость между требуемой энергией, общим весом, и скоростью в равномерном полёте ... то есть мы можем зафиксировать скорость полёта на некой величине (например на рекомендуемой скорости авторотации) и изобразить на графике зависимость требуемой энергии от общего веса ... подобный график может выглядеть например вот так
			
		
				
			 
- Required Power Weight Tangent.JPG (8.76 КБ) 8345 просмотров
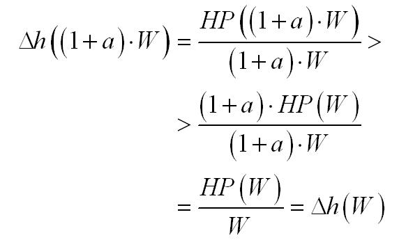
 обратите внимание что на левой части графика кривая достаточно полога ... это означает что если мы увеличим массу на некий процент, например на 1%, то относительное изменение требуемой энергии будет меньше 1%, или 
HP(1.01W) < 1.01HP(W), математически это означает что для достаточно малых величин 
a 
			
		
				
			 
- Smaller Power Increase.JPG (6.62 КБ) 8345 просмотров
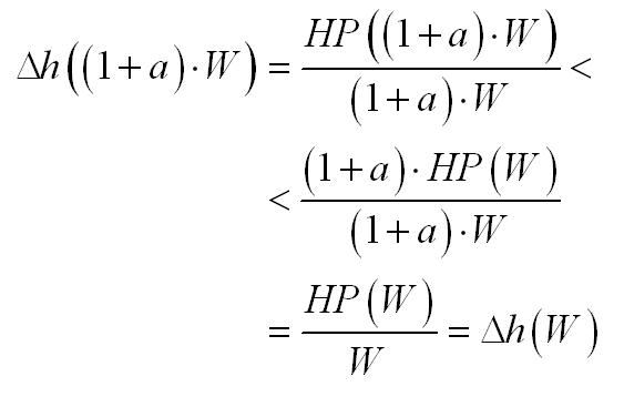
 отметьте что это неверно для всего графика, если мы нарисуем прямую линию ровно из центра координат (то есть из нулевого веса и нулевой требуемой энергии) и найдем точку где эта линия касается графика то эта точка обозначет место где на этом графике поведение которое мы описали ранее меняется на противоположное ... то есть правее этого места если мы увеличим вес на 1% то относительное изменение требуемой энергии будет более 1% ... или в виде формулы это означает что для достаточно малых величин 
a
			
		
				
			 
- Larger Power Increase.JPG (6.65 КБ) 8345 просмотров
 и к чему вы спросите все эти рассуждения ... как обсуждали ранее, во время первого этапа авторотации, или когда мы теряем высоту, поддерживая скорость и обороты несущего винта, необходимая энергия черпается из потенциальной энергии высоты вертолёта на уровнем поверхности ... то есть за единицу времени (скажем за одну секунду) нам нужно спуститься на такую высоту что бы выполнилось следующее равенство
			
		
				
			 
- Energy Equality.JPG (3.54 КБ) 8344 просмотра
 где 
дельта h это и есть измение высоты ... мы можем переписать эту зависимость в следующем виде
			
		
				
			 
- Rate of Descent Weight.JPG (4.8 КБ) 8344 просмотра
 поскольку 
дельта h обозначает изменение высоты за единицу времени это и есть вертикальная скорость во время первого этапа авторотации ... используя неравенства которые мы описали выше мы можем заметить что слева от красной точки на графике при увеличении общего веса вертолёта вертикальная скорость снижения необходимая для поддержания скорости и оборотов несущего винта уменьшится 
а справа от этого места увеличится 
то есть если мы нарисуем зависимость вертикальной скорости снижения от общей массы вертолёта он будет выглядеть примерно вот так (для нашего случая)
			
		
				
			 
- Vertical Speed Weight.JPG (10.18 КБ) 8350 просмотров
 перефразируя - будьте готовы к тому что вертолёт при авторотации может снижаться быстрее когда вы демонстрируете этот замечательный манёвр подруге, весящей 50 кг по сравнению с авторотациями с инструктором, весящим 100 кг, на борту ...
AIM 4-1-9 (g)(1) ... "Traffic in the area, please advise" is not a recognized Self-Announce Position and/or Intention phrase and should not be used under any condition.
Failure to comply with this warning will result in future warnings.